水泵的节能措施,水泵的节能方法
各类水泵在使用过程中所需要的流量扬程与其选型设计时的参数悬殊太多,列如使用的扬程低而选用的扬程高就会造成耗电功率的增加,或者小区供水泵在选型时是以用水高峰期而选的流量,而到了用水低峰期如果不采取相应的变频措施就会损耗掉大量的电能。具体水泵的节能措施有如下几种供参考:
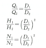
(1)叶轮的切削:泵站在规划设计中的水泵额定扬程因为情况发生一些变化,与供水厂中实际扬程往往不一致.水泵叶轮切削是解决水泵类型、品种规格的有限性与供水对象要求的多样性之间的矛盾的一种选择方法。它使水泵应用范围扩大,通过切削叶轮来调整水泵的工作特性,使它工作在合理区间。例如青岛中法海润供水公司白沙河水厂二级泵额定扬程为6lm,实际运行在50~52m,一级泵站额定扬程为27m,实际运行却在18~2lm,水泵不在合理区间运行,既不利节能又可能引发空蚀,通过水泵泵轮切削,其性能参数变化与切削前后的泵轮直径间的关系为:
![635641927599232870402[1] 635641927599232870402[1]](static/picture/14763265171749372.jpg)
式中Q1,H1,N1------泵轮直径为D1对应的流量,扬程和轴功率;
Q,H。.N2------泵轮直径为D2对应的流量、扬程和轴功率。
通过切削叶轮前后,白沙河水厂二级泵站供水电耗变化见表7.1。
![635641927887350999592[1] 635641927887350999592[1]](static/picture/14763265308705916.jpg)
针对水泵的额定扬程和实际运行扬程的差异.用切削减小工作轮外径,降低扬程和流量使之与实际扬程一致,改变水泵设计工作点,是提高水泵运行效率的一个有效办法。
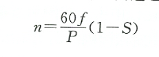
(2)水泵的调速:为确保水泵在高效区运行是保证水泵节能的措施之一,为适应不同的工况点,改变水泵性能曲线,除了叶轮切削,调速也是常用的方法。根据电机转速公式
![635641928823032071997[1] 635641928823032071997[1]](static/picture/14763265403025434.jpg)
式中n-----电动机转速;
F----电流的频率;
P----磁极对数;
S----转差率。
从公式可见,改变s、f、P都可以改变电机转速的目的。在变极、变频、串级三种调速方法中,变频调速困不会损失能耗,且调速范围大,适应性强,技术也较成熟,成为水泵调速方法的首选。有些泵站也选用了变频调速的节能措施,例如可以选用恒压变频增压泵或者采用无负压供水设备。
(3)其他:主要减少水泵自身的机械损失,如轴封和轴承的摩擦损失,采用注人式软密封垫,注意降低水泵的传动损失。另外管理层的科学经济调度,提高前池水位.注意高峰期制水量和供水量的平衡,及时地对泵房机组进行综合分析,优化组合,使水泵机组在最佳工况点运行。
(4)降低水泵过流部件的粗糙度.减少水流摩擦损失,经验上将叶轮及泵壳内表面抛光除锈,可提高水泵效率,节能有1%左右,如果施以光滑涂层则节能效果会更明显,达到5%左右。
从实施节能几项措施效果比较,除了调整流量与扬程合理配置、切削工作轮外,施光滑涂层成本较低,效率增值最高。